Только 1 из 11 взрослых людей сможет решить эти уравнения по алгебре
Это необычный тест по математике. Мы готовы вам даже разрешить пользоваться калькулятором. Ведь его задача - проверить, насколько свежи в вашей памяти основные математические принципы.
Начало теста:
- <
- 1
- 2
- 3
- 4
- 5
- 6
- 7
- 8
- 9
- 10

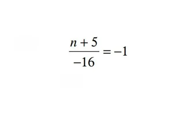
Выберите ответ:
- 11
- 87
- -87
- -1

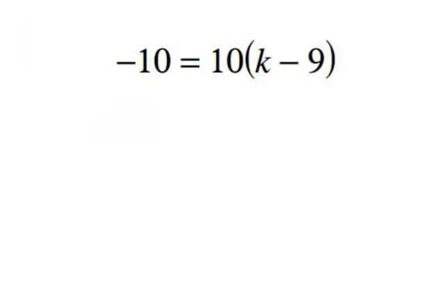
Выберите ответ:
- 39
- 6
- 21
- 8

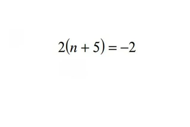
Выберите ответ:
- 16
- 37
- 4
- 125

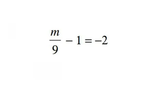
Выберите ответ:
- 17
- 4
- -6
- 20

Выберите ответ:
- 3
- 0
- 4
- 1

Выберите ответ:
- 21
- 13
- -20
- 23

Выберите ответ:
- 0
- -5
- 4
- 24

Выберите ответ:
- 92
- 20
- -92
- -61

Выберите ответ:
- 15
- 9
- 7
- 24

Выберите ответ:
- -9
- 9
- -64
- -15
Идет подсчет результатов
Сообщить о нарушение
Ваше сообщение отправлено, мы постараемся разобраться в ближайшее время.
Отправить сообщениеКомментарии без регистрации:
Комментариев нет, напишите первыми. Без регистрации.Мы старались для вас
Актуальные новости:
Новые тесты от Андрей
-
Ностальгия не в счёт! А что вы реально помните о жизни в СССР?
HTML-код Андрей Прохождений: 60 Просмотров: 199 0 Пройти тест -
Вас часто называют умником? Проверим, знаете ли вы то, что знают единицы!
HTML-код Андрей Прохождений: 54 Просмотров: 182 0 Пройти тест -
Что мешает вашему знаку обрести счастье? Узнайте своего демона!
HTML-код Андрей Прохождений: 206 Просмотров: 605 0 Пройти тест -
Проверим, не стыдно ли вам за свои знания? Держите 10 вопросов по географии!
HTML-код Андрей Прохождений: 370 Просмотров: 875 0 Пройти тест -
Почему вы топчетесь на месте? Один взгляд — и ответ готов!
HTML-код Андрей Прохождений: 169 Просмотров: 481 0 Пройти тест -
В мире животных! От лёгкого к невозможному! А вы осилите?
HTML-код Андрей Прохождений: 2 315 Просмотров: 3 477 4 Пройти тест -
Интеллектуалы, а как у вас со знанием изобразительного искусства? Проверим — держите 10 вопросов!
HTML-код Андрей Прохождений: 153 Просмотров: 445 0 Пройти тест -
10 вопросов по русскому времен СССР! Не провалите тест, справитесь?
HTML-код Андрей Прохождений: 195 Просмотров: 642 0 Пройти тест -
Кто вы: независимый, креативный или вдумчивый? Форма ваших пальцев не соврёт!
HTML-код Андрей Прохождений: 103 Просмотров: 305 0 Пройти тест -
Советская жизнь — это люди, а не строй! А что вы помните о временах СССР?
HTML-код Андрей Прохождений: 9 993 Просмотров: 14 443 21 Пройти тест -
Умники и умницы, ваши знания при вас? Проверим — держите 10 вопросов на эрудицию!
HTML-код Андрей Прохождений: 11 301 Просмотров: 15 195 10 Пройти тест -
Звёзды подскажут, как всё успеть! А вы уже знаете свой секрет продуктивности?
HTML-код Андрей Прохождений: 98 Просмотров: 268 0 Пройти тест -
Любители советских комедий, не подкачайте! Кто узнает фильм Рязанова по одному кадру?
HTML-код Андрей Прохождений: 225 Просмотров: 524 1 Пройти тест -
Русский язык с подвохом! А точно знаете чужака в лицо? Проверим!
HTML-код Андрей Прохождений: 120 Просмотров: 369 1 Пройти тест -
Почему вы поступаете именно так? Просто запомните, что увидели первым!
HTML-код Андрей Прохождений: 111 Просмотров: 292 0 Пройти тест -
Знатоки, ваш выход! Осилите 10 вопросов из телевикторины «Своя игра»?
HTML-код Андрей Прохождений: 180 Просмотров: 411 1 Пройти тест -
Словарный запас срочно на проверку! Подберёте правильно синонимы?
HTML-код Андрей Прохождений: 10 021 Просмотров: 15 353 10 Пройти тест -
Мудрость наших предков в загадках! А вы их разгадаете? Проверим!
HTML-код Андрей Прохождений: 185 Просмотров: 444 0 Пройти тест -
Хотите узнать, сколько шагов осталось до цели? Выберите сосуд — и получите ответ!
HTML-код Андрей Прохождений: 113 Просмотров: 260 0 Пройти тест -
Тот самый СССР — он ещё жив в вас? 8 вопросов для тех, кто не забыл!
HTML-код Андрей Прохождений: 3 252 Просмотров: 4 866 3 Пройти тест
Популярные тесты от Андрей
-
Тест на общую эрудицию. Сумеешь набрать хотя бы 10 баллов?
HTML-код Андрей Прохождений: 670 848 Просмотров: 1 303 422 869 Пройти тест -
Этот тест определит ваш кругозор
HTML-код Андрей Прохождений: 478 486 Просмотров: 855 937 223 Пройти тест -
Что вас ждет в старости?
HTML-код Андрей Прохождений: 467 889 Просмотров: 848 822 397 Пройти тест -
Cколько лет вашей душе?
HTML-код Андрей Прохождений: 653 179 Просмотров: 1 125 390 1000 Пройти тест -
Вас можно назвать ходячей энциклопедией, если сможете набрать восемь правильных ответов
HTML-код Андрей Прохождений: 548 579 Просмотров: 940 504 246 Пройти тест -
В чём ваш мозг крут
HTML-код Андрей Прохождений: 561 645 Просмотров: 1 079 665 721 Пройти тест -
Тест на общие знания: Просвещены ли вы настолько, чтобы пройти его на все 10/10?
HTML-код Андрей Прохождений: 714 828 Просмотров: 1 332 836 258 Пройти тест -
Не называйте себя эрудированным человеком, если не сможете набрать в этом тесте хотя бы 8/10
HTML-код Андрей Прохождений: 420 911 Просмотров: 746 796 223 Пройти тест -
Тест по советским фильмам: Кто из актеров сказал эти известные всем слова?
HTML-код Андрей Прохождений: 491 499 Просмотров: 832 932 355 Пройти тест -
Если вы родом из СССР, то точно сможете закончить фразы тех времен на все 10 из 10
HTML-код Андрей Прохождений: 647 973 Просмотров: 1 000 914 529 Пройти тест -
У вас должно быть как минимум два образования, чтобы пройти этот тест хотя бы на 9/12
HTML-код Андрей Прохождений: 536 651 Просмотров: 1 074 201 232 Пройти тест -
Тест Роршаха расскажет, что сейчас творится у вас в голове
HTML-код Андрей Прохождений: 514 760 Просмотров: 801 167 377 Пройти тест -
Если ответите на все вопросы нашего теста без ошибок, то можете считать себя уникумом с высоким IQ
HTML-код Андрей Прохождений: 492 755 Просмотров: 852 087 305 Пройти тест -
Тест на эрудицию, который мы с треском завалили. Что насчет вас?
HTML-код Андрей Прохождений: 701 166 Просмотров: 1 150 771 315 Пройти тест -
Если закончите цитаты из советских фильмов на 14/14, то вы наверняка родились в СССР
HTML-код Андрей Прохождений: 425 166 Просмотров: 712 402 254 Пройти тест -
Элементарный тест на логику и интеллект, который заваливает большинство взрослых. А вы наберете 15 из 15?
HTML-код Андрей Прохождений: 475 639 Просмотров: 966 611 260 Пройти тест -
Хватит ли вашей эрудиции, чтобы пройти этот тест без помощи интернета?
HTML-код Андрей Прохождений: 436 237 Просмотров: 730 261 172 Пройти тест -
Какое имя подходит вам по знаку зодиака
HTML-код Андрей Прохождений: 445 700 Просмотров: 675 898 167 Пройти тест -
Если сможете закончить 13 крылатых фраз, то вы настоящий интеллигент
HTML-код Андрей Прохождений: 712 656 Просмотров: 1 177 719 393 Пройти тест -
Не заглядывая в Гугл, сможете ответить хотя бы на половину вопросов этого теста?
HTML-код Андрей Прохождений: 495 729 Просмотров: 859 015 264 Пройти тест
Популярные тесты
-
Умеете ли вы готовить? Сложный кулинарный Блиц-тест ресторатора Ивана Шишкина
HTML-код Администратор Прохождений: 342 365 Просмотров: 702 725 128 Пройти тест -
Сможем ли мы определить ваш пол, узнав, что вы ненавидите?
HTML-код Никитин Константин Прохождений: 416 928 Просмотров: 673 084 494 Пройти тест -
Дух какого животного в тебе поселился?
HTML-код Андрей Прохождений: 233 765 Просмотров: 397 161 225 Пройти тест -
Цветовой тест на возраст
HTML-код Андрей Прохождений: 495 573 Просмотров: 856 586 804 Пройти тест -
Вы точно профессор, если наберете в нашем сложном тесте 10/10 — ТЕСТ
HTML-код Анна Прохождений: 390 987 Просмотров: 642 075 161 Пройти тест -
Сопоставьте имя героини советского фильма с фото
HTML-код Андрей Прохождений: 182 021 Просмотров: 279 370 64 Пройти тест -
Если вы наберете 11/12 в этом тесте на эрудицию, то такого начитанного и разностороннего человека еще поискать
HTML-код Андрей Прохождений: 635 407 Просмотров: 1 344 840 188 Пройти тест -
Пройдете ли вы тест на психопата?
HTML-код Никитин Константин Прохождений: 377 620 Просмотров: 617 891 397 Пройти тест -
Простейший тест на IQ из нескольких вопросов
HTML-код Администратор Прохождений: 440 621 Просмотров: 981 365 407 Пройти тест -
Тест на эрудицию. Вы умнее 70% населения?
HTML-код Андрей Прохождений: 285 903 Просмотров: 426 620 168 Пройти тест -
Только те, кто росли в СССР, смогут угадать все эти сказки по цитатам — ТЕСТ
HTML-код Анна Прохождений: 661 015 Просмотров: 1 661 108 173 Пройти тест -
Вы были отличником в СССР, если ответите правильно на 8 вопросов — ТЕСТ
HTML-код Анна Прохождений: 400 226 Просмотров: 700 868 193 Пройти тест -
Тест по фильмам СССР: Сможете пройти его на все 10/10?
HTML-код Андрей Прохождений: 201 660 Просмотров: 290 500 128 Пройти тест -
Хватит ли вам фоновых знаний, чтобы ответить на рандомные вопросы из разных областей?
HTML-код Андрей Прохождений: 346 297 Просмотров: 596 789 185 Пройти тест -
Cколько лет вашей душе?
HTML-код Андрей Прохождений: 653 179 Просмотров: 1 125 390 1000 Пройти тест -
Догадливы и эрудированны ли вы настолько, чтобы парировать 15 вопросов обо всём?
HTML-код Андрей Прохождений: 410 777 Просмотров: 841 412 272 Пройти тест -
Только самые одарённые знают, где находятся эти 23 страны
HTML-код Андрей Прохождений: 234 979 Просмотров: 390 467 418 Пройти тест -
Тест на сленг СССР, который вы завалите, если не жили в то время
HTML-код Андрей Прохождений: 388 404 Просмотров: 679 763 173 Пройти тест -
Если вы закончите представленные 15 фраз, то вы настоящий интеллектуал!
HTML-код Андрей Прохождений: 244 718 Просмотров: 397 736 176 Пройти тест -
Большой тест на интеллект: узнай свой процент знаний
HTML-код Всякие Научные Штуки Прохождений: 847 510 Просмотров: 1 264 603 505 Пройти тест