10 вопросов средней сложности на эрудицию и общие знания, справитесь?
Всегда найдётся тот, кто знает больше, чем вы. Например, сможете ли вы с ходу назвать живое существо, у которого нет сердца? И нет, это не девушка, которая бросила вас в девятом классе и не парень, не позвонивший после свидания. Если в биологии вы не сильны, ответьте на вопрос по географии. Сколько в мире городов, которые называются Рим? У вас есть все шансы пройти тест с блеском, если подобные вопросы вас не пугают. Попробуйте набрать 10 из 10. Скажем сразу, мало кому это удаётся.
Начало теста:
- <
- 1
- 2
- 3
- 4
- 5
- 6
- 7
- 8
- 9
- 10

Выберите ответ:
- У бобров
- У рыб
- У змей

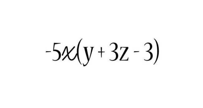
Выберите ответ:
- -5xy - 15xz -15x
- -5xy - 15xz + 15x
- -5xy + 15z -15x

Выберите ответ:
- Родос
- Мадагаскар
- Сардиния

Выберите ответ:
- Сберега_мый, выслуш_на
- Встреча_мый, потер...на
- Отража_мый, учт_на

Выберите ответ:
- 14
- 0
- 28

Выберите ответ:
- Лишению московских князей грамот на великое княжение
- Возобновлению уплаты дани Золотой Орде
- Свержению монголо-татарского ига

Выберите ответ:
- Сойка
- Медуза
- Кобра

Выберите ответ:
- Таганрог
- Немиров
- Ростов-на-Дону

Выберите ответ:
- Нилоты
- Масаи
- Пигмеи

Выберите ответ:
- Антарктида
- Африка
- Австралия
- Северная Америка
Идет подсчет результатов
Сообщить о нарушение
Ваше сообщение отправлено, мы постараемся разобраться в ближайшее время.
Отправить сообщениеАктуальные новости:
Новые тесты от Андрей
-
Что мешает вашему знаку обрести счастье? Узнайте своего демона!
HTML-код Андрей Прохождений: 200 Просмотров: 570 0 Пройти тест -
Проверим, не стыдно ли вам за свои знания? Держите 10 вопросов по географии!
HTML-код Андрей Прохождений: 356 Просмотров: 816 0 Пройти тест -
Почему вы топчетесь на месте? Один взгляд — и ответ готов!
HTML-код Андрей Прохождений: 160 Просмотров: 446 0 Пройти тест -
В мире животных! От лёгкого к невозможному! А вы осилите?
HTML-код Андрей Прохождений: 212 Просмотров: 530 0 Пройти тест -
Интеллектуалы, а как у вас со знанием изобразительного искусства? Проверим — держите 10 вопросов!
HTML-код Андрей Прохождений: 146 Просмотров: 410 0 Пройти тест -
10 вопросов по русскому времен СССР! Не провалите тест, справитесь?
HTML-код Андрей Прохождений: 176 Просмотров: 573 0 Пройти тест -
Кто вы: независимый, креативный или вдумчивый? Форма ваших пальцев не соврёт!
HTML-код Андрей Прохождений: 95 Просмотров: 273 0 Пройти тест -
Советская жизнь — это люди, а не строй! А что вы помните о временах СССР?
HTML-код Андрей Прохождений: 6 817 Просмотров: 9 964 17 Пройти тест -
Умники и умницы, ваши знания при вас? Проверим — держите 10 вопросов на эрудицию!
HTML-код Андрей Прохождений: 11 083 Просмотров: 14 868 9 Пройти тест -
Звёзды подскажут, как всё успеть! А вы уже знаете свой секрет продуктивности?
HTML-код Андрей Прохождений: 95 Просмотров: 258 0 Пройти тест -
Любители советских комедий, не подкачайте! Кто узнает фильм Рязанова по одному кадру?
HTML-код Андрей Прохождений: 218 Просмотров: 502 1 Пройти тест -
Русский язык с подвохом! А точно знаете чужака в лицо? Проверим!
HTML-код Андрей Прохождений: 118 Просмотров: 355 1 Пройти тест -
Почему вы поступаете именно так? Просто запомните, что увидели первым!
HTML-код Андрей Прохождений: 108 Просмотров: 278 0 Пройти тест -
Знатоки, ваш выход! Осилите 10 вопросов из телевикторины «Своя игра»?
HTML-код Андрей Прохождений: 176 Просмотров: 397 1 Пройти тест -
Словарный запас срочно на проверку! Подберёте правильно синонимы?
HTML-код Андрей Прохождений: 9 834 Просмотров: 15 022 10 Пройти тест -
Мудрость наших предков в загадках! А вы их разгадаете? Проверим!
HTML-код Андрей Прохождений: 184 Просмотров: 441 0 Пройти тест -
Хотите узнать, сколько шагов осталось до цели? Выберите сосуд — и получите ответ!
HTML-код Андрей Прохождений: 110 Просмотров: 250 0 Пройти тест -
Тот самый СССР — он ещё жив в вас? 8 вопросов для тех, кто не забыл!
HTML-код Андрей Прохождений: 3 241 Просмотров: 4 829 3 Пройти тест -
Зарядка для ума! Интеллектуалы, осилите 10 заумных вопросов на эрудицию?
HTML-код Андрей Прохождений: 217 Просмотров: 523 0 Пройти тест -
Ваш знак — это ключ к отношениям! А вы знаете, как он влияет на близких?
HTML-код Андрей Прохождений: 103 Просмотров: 285 0 Пройти тест
Популярные тесты от Андрей
-
Тест на общую эрудицию. Сумеешь набрать хотя бы 10 баллов?
HTML-код Андрей Прохождений: 670 840 Просмотров: 1 303 390 869 Пройти тест -
Этот тест определит ваш кругозор
HTML-код Андрей Прохождений: 478 481 Просмотров: 855 922 223 Пройти тест -
Что вас ждет в старости?
HTML-код Андрей Прохождений: 467 887 Просмотров: 848 802 397 Пройти тест -
Помнишь, что ели в Советском Союзе?
HTML-код Андрей Прохождений: 557 798 Просмотров: 1 021 412 270 Пройти тест -
Cколько лет вашей душе?
HTML-код Андрей Прохождений: 653 172 Просмотров: 1 125 353 1000 Пройти тест -
Тест на эрудицию: Ваш IQ высок, как Эверест, если вы сможете набрать 80%!
HTML-код Андрей Прохождений: 708 073 Просмотров: 1 247 669 348 Пройти тест -
Тест на общие знания: Просвещены ли вы настолько, чтобы пройти его на все 10/10?
HTML-код Андрей Прохождений: 714 825 Просмотров: 1 332 831 258 Пройти тест -
Непростой тест на общие знания: Пройдете его хотя бы на 7/10?
HTML-код Андрей Прохождений: 791 399 Просмотров: 1 386 526 285 Пройти тест -
У вас должно быть как минимум два образования, чтобы пройти этот тест хотя бы на 9/12
HTML-код Андрей Прохождений: 536 644 Просмотров: 1 074 178 232 Пройти тест -
Сможете ли вы узнать 20 людей, определивших ход истории?
HTML-код Андрей Прохождений: 772 716 Просмотров: 1 312 153 565 Пройти тест -
Никто не может угадать, какое из этих колец самое дорогое
HTML-код Андрей Прохождений: 1 377 686 Просмотров: 1 714 757 371 Пройти тест -
Если в этом тесте вы наберете 13/13, то вам пора поступать в Гарвард
HTML-код Андрей Прохождений: 495 404 Просмотров: 835 379 271 Пройти тест -
Угадайте воинские звания России по погонам
HTML-код Андрей Прохождений: 672 686 Просмотров: 1 210 241 287 Пройти тест -
Тест на эрудицию, который мы с треском завалили. Что насчет вас?
HTML-код Андрей Прохождений: 701 160 Просмотров: 1 150 759 315 Пройти тест -
Тест на знание всего на свете: Осилите его на все 100%?
HTML-код Андрей Прохождений: 522 108 Просмотров: 866 974 268 Пройти тест -
Если вы наберете 11/12 в этом тесте на эрудицию, то такого начитанного и разностороннего человека еще поискать
HTML-код Андрей Прохождений: 635 405 Просмотров: 1 344 824 188 Пройти тест -
Элементарный тест на логику и интеллект, который заваливает большинство взрослых. А вы наберете 15 из 15?
HTML-код Андрей Прохождений: 475 635 Просмотров: 966 580 260 Пройти тест -
Какое имя подходит вам по знаку зодиака
HTML-код Андрей Прохождений: 445 698 Просмотров: 675 887 167 Пройти тест -
Не заглядывая в Гугл, сможете ответить хотя бы на половину вопросов этого теста?
HTML-код Андрей Прохождений: 495 725 Просмотров: 859 004 264 Пройти тест -
Угадайте советский фильм по плакату
HTML-код Андрей Прохождений: 433 686 Просмотров: 2 265 964 167 Пройти тест
Популярные тесты
-
Ваш адрес - Советский Союз? 8 вопросов на засыпку для тех, кто любит вспоминать СССР!
HTML-код Андрей Прохождений: 303 372 Просмотров: 409 182 112 Пройти тест -
Тест на эрудицию. Вы умнее 70% населения?
HTML-код Андрей Прохождений: 285 900 Просмотров: 426 607 168 Пройти тест -
Тест на общие знания, для прохождения которого нужно поднапрячь мозги
HTML-код Андрей Прохождений: 198 005 Просмотров: 337 157 74 Пройти тест -
Достаточно ли вы образованны, чтобы пройти наш тест хотя бы на половину?
HTML-код Андрей Прохождений: 194 443 Просмотров: 345 783 59 Пройти тест -
Тест на знание русского языка: сможете ли вы грамотно написать все 25 слов?
HTML-код ПроГород Прохождений: 677 962 Просмотров: 1 269 845 421 Пройти тест -
Вы точно профессор, если наберете в нашем сложном тесте 10/10 — ТЕСТ
HTML-код Анна Прохождений: 390 984 Просмотров: 642 061 161 Пройти тест -
Тест, который осилят лишь настоящие профи в мировой географии
HTML-код Андрей Прохождений: 328 656 Просмотров: 546 987 244 Пройти тест -
Ваш IQ точно выше, чем у Эйнштейна, если сможете набрать 7/7 баллов — ТЕСТ
HTML-код Анна Прохождений: 410 364 Просмотров: 844 402 359 Пройти тест -
Покажите себя знающим человеком, ответив на 80% вопросов этого теста
HTML-код Андрей Прохождений: 205 263 Просмотров: 429 158 78 Пройти тест -
Каково ваше психическое состояние?
HTML-код Андрей Прохождений: 241 986 Просмотров: 408 259 154 Пройти тест -
Насколько вы эрудированны?
HTML-код Андрей Прохождений: 258 649 Просмотров: 367 202 164 Пройти тест -
Если вы наберете больше 10 правильных ответов, то у вас всегда была твердая пятерка по географии
HTML-код Андрей Прохождений: 221 004 Просмотров: 380 640 103 Пройти тест -
Главный тест на общие знания: насколько ты умён?
HTML-код Всякие Научные Штуки Прохождений: 598 050 Просмотров: 891 020 363 Пройти тест -
Тест по фильмам СССР: Сможете пройти его на все 10/10?
HTML-код Андрей Прохождений: 201 653 Просмотров: 290 487 128 Пройти тест -
Тест на эрудицию, который мы с треском завалили. Что насчет вас?
HTML-код Андрей Прохождений: 701 160 Просмотров: 1 150 759 315 Пройти тест -
Угадайте советские фильмы по их культовым героиням
HTML-код Андрей Прохождений: 197 142 Просмотров: 320 123 58 Пройти тест -
Вас можно назвать ходячей энциклопедией, если сможете набрать восемь правильных ответов
HTML-код Андрей Прохождений: 548 574 Просмотров: 940 466 246 Пройти тест -
Никто не может угадать, какое из этих колец самое дорогое
HTML-код Андрей Прохождений: 1 377 686 Просмотров: 1 714 757 371 Пройти тест -
Тест на знания из различных областей: Образованны ли вы настолько, чтобы пройти его на 10/10?
HTML-код Андрей Прохождений: 316 309 Просмотров: 583 750 145 Пройти тест -
Каков Ваш психологический возраст?
HTML-код Никитин Константин Прохождений: 972 135 Просмотров: 1 617 195 857 Пройти тест